
近日,北京工商大学孙迎雪教授团队联合国家固态酿造工程技术研究中心在《Aquaculture International》期刊上,发表题为“Intestinal health and metabolic balance of zebrafish (Daniorerio) fed on diets containing enzymatically hydrolyzeddistiller's dried grains with solubles (DDGS)(酶解酒糟饲料对斑马鱼肠道健康与代谢平衡的促进作用)”的研究论文。本研究采用复合酶深度水解技术(CEDEH)技术深度处理酒糟。结果发现,该技术能显著提升酒糟的营养释放水平与水生生物可利用性。饲喂结果表明,经此处理的酒糟能有效改善斑马鱼的肠道健康并调控其代谢平衡。

随着全球水产养殖业持续扩张,鱼粉作为核心饲料蛋白源正面临资源紧张与价格波动的双重压力,开发可持续的新型蛋白原料已成为产业发展的关键课题。我国白酒产业每年产生超过3000万吨酒糟,传统处理方式成本高、环境污染风险大。
酒糟中存在的复杂抗营养因子,严重制约了其在水产饲料中的直接应用。为此,本研究创新引入复合酶深度水解技术,通过纤维素酶、α-淀粉酶与蛋白酶(中性蛋白酶+风味蛋白酶)的协同作用,对酒糟进行定向酶解处理,有效打破其纤维结构与蛋白包埋,显著提升了小分子营养物质的释放效率与水生生物对营养的利用能力。
在此基础上,研究系统评估了酶解酒糟在斑马鱼饲料中替代鱼粉的可行性。结果表明,该处理不仅能显著改善鱼类肠道健康,促进消化吸收,还有效调节机体代谢平衡,为酒糟的高品质饲料化提供了可靠的科学依据。
本研究的推进,不仅为水产养殖开辟了一条绿色、经济的新型蛋白路径,也为白酒副产物的资源化利用提供了技术支撑,有助于实现从“废糟”到“精料”的升级转型,对推动酿酒副产物资源化利用、减轻环境压力具有双重意义。
1.肠道组织形态与健康
酶解酒糟显著提高了斑马鱼十二指肠绒毛高度,尤其在DCP20组中杯状细胞数量增加超40%,表明肠道屏障功能增强。

a-g用谷物渣粉(DDGS)处理过的斑马鱼的肠道组织病理学图像
(DDG:不使用DDGS替代物;DNP10:中性蛋白酶水解DDGS替代鱼粉(10%);DNP20:中性蛋白酶水解DDGS替代鱼粉(20%);DFP10:风味蛋白酶水解DDGS替代鱼粉(10%);DFP20:风味蛋白酶水解DDGS替代鱼粉(20%);DCP10:混合蛋白酶水解DDGS替代鱼粉(10%);DCP20:混合蛋白酶水解DDGS替代鱼粉(20%))
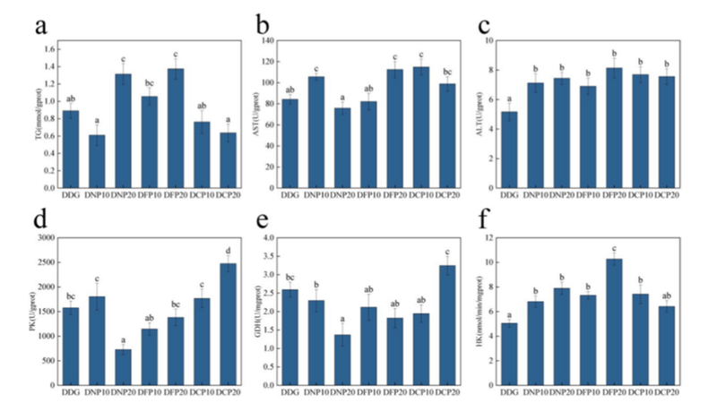
2.抗氧化与代谢功能提升
DP10组肝脏总抗氧化能力(T-AOC)和超氧化物歧化酶(SOD)活性分别提升24.8%和90.8%,肠道谷胱甘肽(GSH)活性显著上升,丙二醛(MDA)水平下降,饲料组分中植物蛋白提升情况下肠道抗氧化应激水平得到有效提升。

酶解型DDGS饮食下斑马鱼肝脏的中间代谢酶活性变化(a 甘油三酯(TG);b 天冬氨酸转氨酶(AST);c 丙氨酸转氨酶(ALT);d 磷酸烯醇式丙酮酸激酶(PK);e 谷氨酸脱氢酶(GDH);f 己糖激酶(HK))
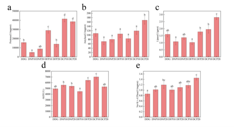
3.消化酶活性增强
酶解酒糟显著提升了肠道中胰蛋白酶和α-淀粉酶活性,分别提高27.4%和32.1%,碱性磷酸酶(AKP)与Na+-K+-ATPase活性也显著上升。

不同饮食投喂后斑马鱼肠道内消化酶和代谢酶的活性变化(a 蛋白酶活性;b 淀粉酶活性;e 脂肪酶活性;d 碱性磷酸酶活性;e 钠钾-ATP 酶活性)
4.肠道菌群结构与功能重塑
DCP10组中纤维素降解菌Cellulomonas丰度提升57.3%,抗炎菌Tabrizicola提升354.33%。宏基因组分析显示,TCA循环(ko00020)、支链氨基酸合成(ko00290)等关键代谢通路均上调。

斑马鱼肠道微生物群落的门水平(a)和属水平(b)组成;在酶解型DDGS饮食干预下,门水平(c)和属水平(d)中差异丰度的微生物群落变化
来源丨总工办
一审丨张岚
二审丨谢若兰 戴静文
三审丨李宾 赵明利
泸州老窖企业文化中心出品
抖音号:LZLJGF

